失眠、肠胃不适、皮肤敏感……这些现代人常见的“小毛病”,背后可能隐藏着共同的健康警报——慢性炎症。《Nature Medicine》权威文献指出,慢性炎症已被视为当今世界最主要的死亡原因之一,高达50%以上的死亡都可以归因于炎症相关问题[1]。这意味着,管理炎症不再是特定人群的课题,而是每个人主动健康管理的关键一步。如何通过抵消炎症环境的不利影响,在日常中选择抗炎饮食,成为消费者的当务之急。来自青岛明月集团有限公司的岩藻多糖不止能养胃,还能满足抗炎的双重需求,轻松摆脱炎症困扰,拥抱健康生活!
炎症与衰老
一对被忽视的“生命加速器”
衰老的本质是机体修复能力下降与损伤累积的结果,而慢性炎症则在其中扮演“催化剂”角色。随着年龄增长,免疫系统调节能力逐渐减弱,导致身体长期处于低度炎症状态,这不仅加剧慢性疾病风险,也与功能衰退、虚弱密切相关。因此,抗炎的深层意义,不仅是缓解不适,更是延缓衰老、提升生命质量的根本策略。
尽管蔓越莓、葡萄、全谷物、姜黄等抗炎食物清单广为流传,但在快节奏生活中,消费者很难每日精准搭配并长期坚持。有没有一种方式,能让抗炎变得像每日补充营养一样简单高效?岩藻多糖无疑是一款理想的产品选择,有望为忙碌的人们开启便捷的抗炎新篇章。
岩藻多糖
海洋深处的“抗炎”宝藏
在浩瀚无垠的海洋中,生长着一种坚韧的海洋植物——褐藻。它们长期面对高盐、高压、弱光以及摩擦、暴晒、风蚀和动物啃食等多重恶劣环境,展现出顽强的生命力。为了保护自身,褐藻会从细胞间分泌出岩藻多糖,帮助褐藻抵御恶劣的外部环境,守护藻体的健康。

岩藻多糖富含岩藻糖和硫酸基团,赋予其强大的抗氧化、抗炎、抑制基质降解酶表达、抗糖化、激活抗衰老基因表达以及抗凋亡与促进细胞修复等多重生物活性[2],这为它在多种炎症相关问题的干预中提供不同方向。青岛明月海藻集团作为全球海藻生物制品领域的领军者,凭借其BMSFu®岩藻多糖,为抗炎饮食提供了科学高效的解决方案,成功破解五大“炎症”困局。
明月岩藻多糖
如何破解五大炎症困局?
1、急性放射性肠炎
在急性放射性肠炎的临床实验中[3],青岛明月海藻集团联合青岛大学附属医院选取120例盆腔肿瘤放疗群体作为研究对象,受试者在放疗后常常出现腹痛、腹泻、便秘等不良反应,严重影响生活质量。研究团队给受试者每天服用岩藻多糖,持续一段时间后发现,与对照组相比,岩藻多糖组血清中的促炎因子水平显著下降,症状评分降低,功能状态评分提高,生活质量得到显著改善。

图:岩藻多糖对盆腔肿瘤放疗所致急性放射性肠炎的疗效研究
2、慢性胃炎
慢性胃炎是一种常见的消化系统问题,其发病与幽门螺杆菌感染、胃黏膜损伤等因素密切相关。在慢性胃炎的研究中,34位分为两组,其中一组服用岩藻多糖后,胃窦和胃体的黏膜厚度显著提升,分别增加12.42μm和11.21μm。这一发现为岩藻多糖在慢性胃炎产品的应用提供有力证据[4]。

进一步的研究表明,岩藻多糖不仅能够修复胃黏膜,还能有效清除幽门螺杆菌。与传统的四联药物治疗相比,岩藻多糖采用纯物理性的生物吸附方式,将幽门螺杆菌吸出体外并排出,而不是像抗生素杀灭体内的有益菌。因此,岩藻多糖在治疗慢性胃炎方面具有无副作用、效果显著的优点。
3、放射性肺炎
放射性肺炎是放疗后常见的并发症之一,其发病与肺部炎症反应密切相关。在放射性肺炎的临床研究中,联合海慈医院进行的试验发现,给受试者服用岩藻多糖后,炎症的发生率整体下降。这一结果表明,岩藻多糖能够有效抑制放射性肺炎的发生和发展[5]。虽然具体的作用机制尚不完全清楚,这一发现为放射性肺炎的预防和干预提供了新的思路和方法。

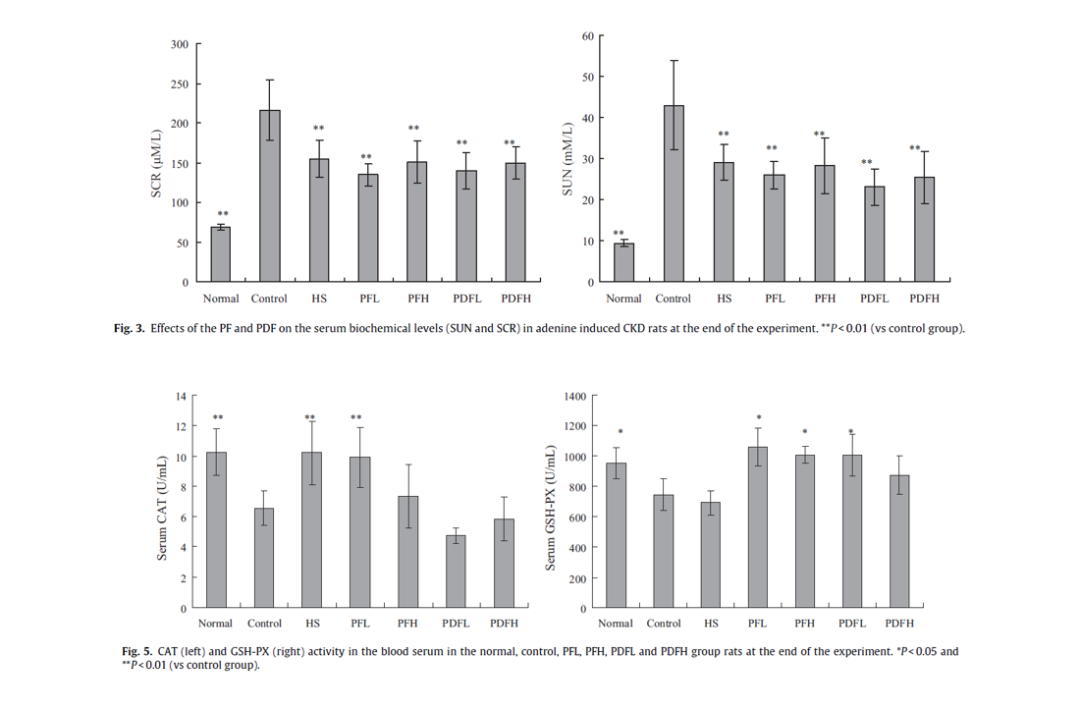
4、慢性肾炎和慢性肾病(CKD)
早在2003年,青岛的中科院海洋研究所就利用岩藻多糖(当时称为褐藻多糖硫酸酯)开发了一款名为海昆肾喜胶囊的药物,专门用于治疗肾水肿和慢性肾病。经过二十多年的临床应用,该药物仍然非常有效,深受消费者好评。

动物实验和临床研究均表明,岩藻多糖能够显著改善慢性肾炎和慢性肾病患者的肾功能指标,减轻肾脏组织损伤。结果显示,岩藻多糖能够有效地降低小鼠体内血清尿素氮、血清肌酐浓度,肾小管和肾间质组织病理学显示岩藻多糖能显著改善慢性肾炎症状。这一发现为慢性肾炎和慢性肾病的治疗提供新的原料选择[6-7]。

图示:岩藻多糖:改善慢性肾病(CKD)
5、结肠炎
结肠炎是一种常见的肠道炎症性疾病,其发病与肠道黏膜损伤、免疫反应异常等因素密切相关。在动物实验中,青岛明月海藻集团联合上海十院进行的老鼠实验发现,岩藻多糖能够有效降低小鼠的便血指数,改善排便黏稠度,减轻肠道炎症反应[8]。
进一步的研究表明,岩藻多糖能有效抑制结肠炎症并修复肠道屏障。此外,岩藻多糖增加了毛螺菌科的相对丰度,如Turicibacter、Muribaculum、Paraspertella和Colidextribacter,随后增加了短链脂肪酸,特别是丁酸,这为结肠炎干预提供新的思路和方法。

图示:【动物实验】岩藻多糖改善肠炎
从抗炎做起
青岛明月海藻发力岩藻多糖行业
青岛明月海藻集团,是全球规模最大的海藻生物制品生产企业之一。明月海藻对原料把控严苛,精选智利优质海域的纯净褐藻,从源头保障产品品质。在生产环节,集团突破工业化技术瓶颈,建成国内高纯度岩藻多糖生产线,自主研发的脱碘、去重金属技术,使产品纯度高达98%。同时,集团科研实力强劲,拥有多个科研平台,BMSFu®岩藻多糖荣获ISO22000、ISO9001、HACCP等多项权威认证,累计申请国家商标专利达550余项,科学实力与专业有效性备受认可。
历经6年深耕,明月岩藻多糖产品已覆盖国内70%以上的市场份额,并远销美国、欧盟等多个国家和地区,获得海内外客户的高度认可。集团持续深化与科研院所的合作,围绕“靶向清幽、胃黏膜修复、肠道调理、肾功能改善、脂肪肝干预、免疫调节”等方向开展系统研究,为不同人群提供精准、安全的健康解决方案,尤其为中老年群体带来全新的产品思路与健康选择。
展望未来,随着岩藻多糖研究的持续深入和技术的不断革新,明月BMSFu®岩藻多糖有望在抗衰老、抗炎等领域发挥更为关键的作用,助力抗炎饮食一键简化,精准拆解“健康”难题,为人们的健康生活保驾护航。
参考文献:
[1]Furman D, Campisi J, Verdin E, et al. Chronic inflammation in the etiology of disease across the life span[J]. Nature medicine, 2019, 25(12): 1822-1832.[2]Julissa Luvián-Morales等(2021). Functional foods modulating inflammation and metabolism in chronic diseases: a systematic review. Critical Reviews in FoodScience and Nutrition.[3]陈晓晗,孙立,陆海军,孙占一,姜进举.岩藻多糖对盆腔肿瘤放疗所致急性放射性肠炎的疗效研究[J].临床医学进展,2022,12(5):4381-4389[4]The Indonesian Journal of Gastroenterology, 2011, 12, 79-84.[5]Zhang YEXI, GUO MAN, LOnG LIN, Sun ZHANYl, Shen PElLl, Wang SU & Liu PENG, Assessment of Therapeutic, Nu-tritional index and Radiation Damage lindex Effects of Fucoidan in Patients with Thoracic Tumor. at. Am. J. Pharm.39(12): 2020.[6]Journal of Ethnopharmacology 139(2012)807-813[7]Journal of Molecular and Cellular Cardiology 97 (2016)169-179[8]明月海藻海藻活性物质国家重点实验室与上海市第十人民医院实验数据.